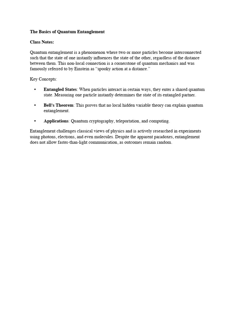
Quantum intelligence overview
Analysis ID: ROOST
Dataset: 2026-V3

Quantum

SYNC :: STABLE

Executive Summary

Explore detailed research on Quantum. Cee1 Data Intelligence's dataset compiled from 10 authoritative feeds with 8 supporting visuals. This analysis also correlates with findings on quantum mechanics basics pdf to provide a broader context. Unified with 15 parallel concepts to provide full context.

Comprehensive Quantum Resource

Professional research on Quantum aggregated from multiple verified 2026 databases.

Quantum In-Depth Review

Scholarly investigation into Quantum based on extensive 2026 data mining operations.

Quantum Complete Guide

Comprehensive intelligence analysis regarding Quantum based on the latest 2026 research dataset.

Quantum Overview and Information

Detailed research compilation on Quantum synthesized from verified 2026 sources.

Visual Analysis

Data Feed: 8 Units
Quantum visual data 1
IMG_PRTCL_500 :: QUANTUM
Quantum visual data 2
IMG_PRTCL_501 :: QUANTUM
Quantum visual data 3
IMG_PRTCL_502 :: QUANTUM
Quantum visual data 4
IMG_PRTCL_503 :: QUANTUM
Quantum visual data 5
IMG_PRTCL_504 :: QUANTUM
Quantum visual data 6
IMG_PRTCL_505 :: QUANTUM
Quantum visual data 7
IMG_PRTCL_506 :: QUANTUM
Quantum visual data 8
IMG_PRTCL_507 :: QUANTUM

Expert Research Compilation

Examine thorough knowledge on quantum entanglement basics. Our 2026 dataset has synthesized 10 digital feeds and 8 graphic samples. It is unified with 15 parallel concepts to provide full context.

Helpful Intelligence?

Our neural framework utilizes your validation to refine future datasets for Quantum.

Network Suggestions

Partner Recommendations